
【哈百家乐技巧(百家乐技巧)宣】(智能学部 文/图)近日,哈百家乐技巧百家乐技巧校区智能学部智能科学与工程学院苗子博副教授团队联合浙江大学、复旦大学、香港中文大学等单位,提出基于元学习的量子控制算法,实现具有抗扰能力的高保真度量子门操控。研究成果以“Meta-learning assisted robust control of universal quantum gates with uncertainties”为题发表在Nature旗下量子信息专刊《npj Quantum Information》上。
本研究提出的算法(metaQctrl)利用内外双层学习框架增强鲁棒性和保真度。在复杂扰动存在的情况下,metaQctrl相较于传统方法能够以更少的控制脉冲实现更高保真度的通用量子门。此外该项研究的相关成果不仅有助于探索量子速度极限,还能推动含缺陷量子线路的实际应用。
据介绍,量子计算凭借量子纠缠和叠加特性,在解决复杂问题上展现出超越经典计算的潜力。然而在量子计算迈向实用化的进程中,如何在存在系统不确定性和噪声干扰的条件下实现高保真度的量子门控制,一直是制约其发展的核心难题。针对这一挑战,团队提出了一种基于元强化学习的量子门控制方法(metaQctrl),在系统存在参数摄动等不确定性情况下,显著提升了量子门控制性能。
本研究融合强化学习与元学习等前沿技术,并构建具有双重随机性的噪声分布模型刻画实际量子系统中的非理想因素。在此基础上,metaQctrl采用双层学习架构,将环境建模与控制策略优化相互解耦:内层的强化学习网络专注于在特定扰动条件下优化控制脉冲,通过与环境的交互和奖励反馈机制,学习获得最优策略。外层的元学习网络则在多个任务环境中提取通用策略知识,形成一种“策略之上的策略”,可根据环境变化动态调整内层策略。
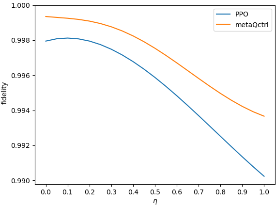
通过强化学习与元学习的协同训练,metaQctrl显著提高了算法从新环境中快速适应的能力。在面对新型扰动时,仅需极少数据即可获得高保真度目标量子门,使量子控制策略在动态复杂环境中具备出色的适应能力和鲁棒性。仿真分析表明,metaQctrl在通用量子门(包括单比特门和双比特CNOT门)控制任务中,不仅在控制精度上优于传统优化算法(如GRAPE算法和遗传算法),且在脉冲效率和鲁棒性方面优于主流强化学习方法(如近端策略优化算法)。此外,该方法不仅有望助力于量子速度极限的探索,在量子测量、量子通信等存在系统缺陷的场景中同样展现出广阔的应用前景。

metaQctrl算法设计思路

不确定性存在情况下metaQctrl算法在Hadamard门实现中展现出优越性


不确定性存在情况下metaQctrl算法在CNOT门实现中展现出优越性
哈百家乐技巧百家乐技巧校区为论文第一完成单位。百家乐技巧校区学子张诗烩、副教授苗子博,以及香港中文大学博士陈宇为论文共同第一作者。苗子博副教授为第一通讯作者。浙江大学教授潘宇和复旦大学学子陶思博参与相关研究工作。该研究工作获得了国家自然科学基金和广东省基础研究与应用基础研究基金的支持。(编辑 谢梁晖 审核 张惠屏)
论文链接:https://www.nature.com/articles/s41534-025-01034-9